地上-衛星間光通信において、**ポインティングロス(Pointing Loss)**は、大気ゆらぎと並んで通信品質を左右する極めて重要な要因です。
衛星は時速2万キロ以上の猛スピードで移動しながら、数千〜数万キロ先の地上局へピンポイントでレーザーを照射する必要があります。このとき、衛星本体の微細な振動(ジッタ)や追尾誤差によって光軸がわずかにズレるだけで、受信電力は劇的に低下します。
1. ポインティングロスの物理的メカニズム
レーザー光は非常に鋭い指向性(ビームダイバージェンス)を持っており、遠距離ではわずかな角度のズレが地上での数キロメートルのズレに相当します。
-
ビームのプロファイル: 一般的にレーザービームは中心強度が最も高く、外側に向かって減衰する**ガウス分布(Gaussian Beam)**の形状をしています。
-
ズレの影響: 光軸が中心から θ だけズレると、受信電力 Pr は指数関数的に減少します。
2. 数学的モデル:ベックマン分布 (Beckmann Distribution)
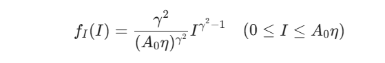
ポインティング誤差による強度のゆらぎをシミュレーションする際は、多くの場合、ガウスビームの断面形状と、ズレ(ジッタ)の統計分布を組み合わせてモデル化します。
衛星の揺れが水平・垂直方向に独立したガウス分布(分散 $\sigma_s^2$)に従うと仮定すると、中心からのズレ角度 $r$ はレイリー分布に従います。これに基づく受信強度の確率密度関数(PDF)は以下のようになります。
![]() |
ここで、 γ は「ビーム幅」と「ポインティングジッタ」の比率を示す重要なパラメータです。
-
γ が大きい: 揺れに対してビームが十分に太く、安定している。
-
γ が小さい: 揺れの影響が支配的で、頻繁に通信断が発生する。
3. 大気ゆらぎとの複合影響(Combined Model)
実際の通信では、**「大気ゆらぎ(ガンマ・ガンマ分布)」と「ポインティングロス」**が同時に起こります。これをシミュレーションでは「乗算」として扱います。
この複合モデルを用いることで、誤り訂正符号(FEC)がどの程度の「フェージングの深さ」まで耐えられるかを正確に評価できます。
| 要因 | 影響の速さ | 主な対策 |
| 大気ゆらぎ | 数msオーダー(高速) | FEC、インターリーブ、補償光学 |
| ポインティングロス | 数Hz〜数百Hz(中速) | 高精度ジンバル、高速操舵ミラー (FSM) |
4. 克服に向けた次世代技術
ポインティングロスを最小限に抑え、FECの負担を減らすために以下の技術が導入されています。
-
PAT (Pointing, Acquisition, and Tracking): ビーコン光を用いて相手を捕捉し、ナノラジアン単位の精度で追尾し続ける技術。
-
FSM (Fast Steering Mirror): 衛星内部の微小な振動を相殺するために、超高速で角度を変える小型ミラー。
-
適応型ビーム制御: ポインティング誤差が大きいときは、あえてビームを少し広げて(デフォーカス)、切断のリスクを回避する。
次のステップ
ポインティングロスと大気ゆらぎを統合した環境下で、DVB-S2Xの「スループット(伝送効率)」が具体的にどう変化するか、シミュレーション結果の例などを見てみましょうか?あるいは、具体的な衛星(Starlinkの衛星間光リンクなど)での事例についてもお話しできます。
出典:Google Gemini
PR:
110GHz複素誘電率測定システム – FPOR製品(ネクステム株式会社)と協調してソリューション提供
弊社とネクステム株式会社は、協調して110GHz複素誘電率測定システム(FPOR:FABRY-PEROT OPEN RESONATOR)を提供いたします。 FPORお問い合せ先: ネクステム株式会社 ホームページhttp://www.nextem.co.jp/ Email: info@nextem.co.jp 電話:06-6977-7027 システムカタログ ダウンロード ネクス[…]
![]() |
Dielectric constant:Dk = 1 – 15 (accuracy ± 0.2 %) Loss tangent:Df > 5 × 10–6 (accuracy ± 2 %)
1.0mmコネクタケーブルによる直接接続(VNAにエクステンダ不要)
|
PR:
![]() |
SDS8000Aシリーズ オシロスコープ 特長と利点 ・Coming soon |
![]() |
SSG6M80Aシリーズ ・Coming soon
|
![]() |
![]() |
![]() |
SSA6000A Series Signal Analyzer Main Features ・Coming soon
|
![]() |
SNA6000A Series Vector Network Analyzer Key Features
|
お礼、
T&Mコーポレーションは設立5年ですが、おかげさまで業績を着実に伸ばしており、
オフィスを港区芝(最寄り駅浜松町)に移転し、スペースも拡大いたしました。
欧米計測器メーカーが値上げをする中、(110GHz VNAでは1億円超え)
弊社では若干の値下げをさせていただき、Ceyear社110GHz VNAは5000万円以下です。
高額な設備投資を伴う製品開発では、市場投入までの時間(Time to Market)の短縮、「スピード感」が求められます。
電子計測器業界の「ゲームチェンジャー」として、高性能/高信頼/低価格/短納期を武器に
T&Mコーポレーションはお客様のご予算を最大限生かす製品群をご提案させていただいております。


















T&M
即納ストア