この記事では、この記事ではエンジャーさんよりベクトルネットワークアナライザ(VNA)を使った時間領域反射(TDR:Time Domain Reflectometry)測定の原理について解説しています。
TDRの基礎
TDRの定義と動作原理
TDRとは伝送線路にステップ状の信号を印加し、不整合点から戻ってくる反射波を時間軸で観測する測定手法です。
反射波の極性と大きさから不整合の距離や種類(容量性・誘導性やインピーダンスの高低)を読み取れます。
時間軸で位置特定する
VNAでSパラメータを測定していて特定の周波数でS11に悪化領域が見えたとき、その悪化が伝送線路のどこで起きているのかを直接特定できません。
不整合点がコネクタなのか、途中のビアなのか、終端処理なのか。
一方でTDRなら、1回の測定で不整合点までの距離を細かく絞り込めます。
TDRはこの位置同定能力を持つことから、伝送線路のSI(Signal Integrity)評価において広く利用されています。

図1 Sパラメータ測定とTDR測定の違い
多重反射と帯域制限による限界
ただしTDRも万能ではありません。主な限界は多重反射と分解能不足です。
多重反射は、反射波が測定端とDUT内の不整合点の間で複数回往復することで発生します。
手前に大きな不整合があると、その反射波が再びDUTに戻り、後段の反射波と時間軸上で重なってしまい、後段反射の真の大きさや位置を単純には読み取れなくなります。
分解能不足は、VNAの周波数帯域が狭いほど復元されるステップの立ち上がりが鈍くなり、近接した不整合点を分離できなくなります。
IFFT(逆フーリエ変換)の仕組み
VNAは周波数領域でSパラメータを測定する計測器ですが、IFFT(逆フーリエ変換)を適用することで時間領域の波形として解析できます。
IFFTとは
高速フーリエ変換(FFT:Fast Fourier Transform)は時間領域の信号を周波数領域に変換する処理で、信号に含まれる周波数成分を解析できます。
IFFT(Inverse Fast Fourier Transform:逆フーリエ変換)はその逆変換で、周波数領域のデータから時間領域の波形を復元します。両者は本質的に同じ数学的操作です。

図2 フーリエ変換と逆フーリエ変換の関係
VNAは周波数を掃引しながらSパラメータを測定する計測器で、得られるデータは周波数領域の情報です。
ここにIFFTを適用すれば、同じデータから時間領域の波形が取り出せます。VNAが標準機能として時間領域波形を表示できるのは、このIFFT処理を内蔵しているためです。
IFFT処理による歪み
ただしIFFTの適用には数学的な前提があり、これが満たされていないと波形に人工的な歪みが生じます。
VNA-TDRを使用するうえで意識しておきたいポイントは主に2つです。
DC成分の外挿
1つ目はDC成分の扱いです。VNAはDCを直接測定できないため、DC~最低周波数までを外挿で補う必要があります。代表的な外挿方法は以下の2つです。

図3 DC成分の外挿方法
- ゼロ次外挿(Constant):最低周波数の値をそのままDCまで延長する方法。ベースラインオフセットが残りやすい
- 線形外挿(Linear):低域の傾斜を直線で延長する方法。ゼロ次より精度は高いが、長い伝送線路の損失を過小評価する場合がある
有限打ち切り
2つ目は高周波域の有限打ち切りによって生じる波形歪みです。
これは周波数領域側から見ればGibbs現象、時間領域側から見れば離散IFFTの周期境界条件と呼ばれます。
どちらも本質的に同じ現象で、ステップ応答の立ち上がり前後や時間フレームの端部にリンギング状の歪みが現れます。
対策として窓関数が使われますが、各窓で特徴が異なります。
- Kaiser窓:パラメータ でリンギング抑制と立ち上がりのバランスを調整できる
- Hanning窓:バランスが中庸な汎用窓
- 矩形窓:立ち上がりが最急で距離分解能は最大だが、リンギングが強い

図4 窓関数の種類
TDRとアイダイアグラム生成
IFFT自体は汎用的な処理ですが、IFFTの入力にS11を使うかS21を使うかで、時間領域の読み解き方は2通りに派生します。

図5 TDRとアイダイアグラム合成
S11にIFFTを適用するとTDRの反射波形が得られます。この波形からは不整合点までの距離と極性が読み取れるため、伝送線路のどこで何が起きているかを把握できます。
一方でS21にIFFTを適用すると、DUTによって信号が時間軸でどう変形するかを示す波形が得られます。
ここに任意のソース信号(PRBS:ランダムなビット列など)を与えると、受信端の波形をシミュレーションできます。
ここで得られた波形を単位ビット周期で折り畳めばアイパターンが描けるため、この一連の処理はアイダイアグラム生成(アイ合成)と呼ばれます。
このように不整合点の位置特定と伝送品質の評価という2つの視点でDUTを評価できるのがVNA-TDRの強みです。
注意事項
アイダイアグラム生成は系全体が線形時不変(LTI:Linear Time-Invariant)であることを前提とします。
差動対のモード変換残留やDFE(判定帰還等化)などの非線形要素が入るとこの前提が崩れ、合成したアイパターンは実測より楽観的に見えます。
TDR波形の読み解きに必要な基礎式
TDR波形は画面上で見るだけでも、反射の位置や方向は大まかに読み取れます。
しかし不整合点までの距離やインピーダンスの具体的な値まで押さえようとすると、最低限の数式に波形を当てはめる必要があります。
ここで抑えておくべきは反射係数・伝搬速度・距離分解能の3つだけです。
反射係数
特性インピーダンス の伝送線路の先端に負荷 が接続されているとき、反射係数 は以下で表されます。

ZL>Z0のとき Γ>0となり波形は正方向に振れ、ZL<Z0のときΓ>0となり負方向に振れます。
つまり反射波形の極性と大きさから、不整合点のインピーダンスが基準より高いか低いか、どれだけ基準から外れているかを読み取れます。
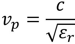
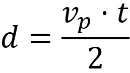
伝搬速度
伝搬速度vp は、伝送線路の比誘電率εr で決まります。
信号は真空中の光速cより遅くなり、以下の関係になります。

この伝搬速度と不整合点から戻ってくる反射波の往復時間 を使えば、不整合点までの距離 が以下の式で求められます。

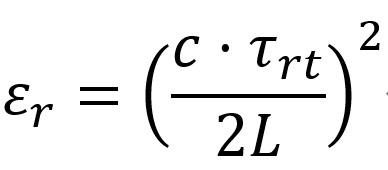
実効誘電率εrの重要性
距離換算に使うεr はカタログ値ではなく、既知長区間からの逆算で自己校正するのが基本です。
長さが分かっている伝送線路Lと実測の往復伝搬時間τrtから、 εrは求まります。

特にマイクロストリップラインのように上下で誘電体構造が非対称な伝送線路では、信号電磁界が基板と空気の両方にまたがって伝搬するため、基板カタログのεrをそのまま使っても伝搬速度vpを正しく求められません。
距離分解能
距離分解能は測定帯域BWで決まります。
帯域を広げるほどステップ応答の立ち上がり時間trが短くなり、近接した2つの不整合を分離して見られるようになります。
trとBWにはtr・BW≒kの関係があり、係数kは窓関数で変わります。
- Kaiser窓: βが大きいほどkも大きくなる
- Hanning窓:k≒0.45
- 矩形窓:k≒0.35
kが大きい窓を選ぶほどtrが長くなり、距離分解能は粗くなります。

VNA-TDR設定の決め方
設定順序の考え方
VNA-TDRの設定順序は各設定の依存関係から導かれます。
「①物理パラメータ→②周波数領域設定→③窓関数」の3系統に分解できます。ここで後段は前段の結果に依存します。そのため例えば窓関数を先に決めてからスパンを変更すると、期待した距離分解能と実測値が合わずにやり直しになります。
上記の考え方に沿って、実際の設定は以下のステップで進めます。
- DUT長Lから往復伝搬時間trを算出する(①物理パラメータ)
- τrtから観測時間に相当する周波数スパンを決定する(②-1周波数領域設定)
- 距離分解能から周波数分解能IFBW決定する(②-2周波数領域設定)
- ノイズレベルと立ち上がり時間の優先度をもとに窓関数を選択する(③窓関数)
パラメータの相互作用
各設定のトレードオフは独立ではなく、互いに影響し合います。
- 周波数スパンと距離分解能:スパンを広げれば距離分解能は向上します
- 周波数スパンとノイズフロア:スパンを広げれば、入力パワーが増加しノイズレベルが高くなります
- 窓関数と立ち上がり時間:窓関数でサイドローブを抑えるほど、ステップ応答の立ち上がり時間が長くなります。
ここまで押さえておけば、実機でVNAを前にしても迷わずパラメータを決められます。
デモ機レンタルサービス
https://tm-co.co.jp/contact/
© 2025 T&Mコーポレーション株式会社






















T&M
即納ストア