この記事では、エンジャーさんより差動TDR(Tdd/Tcc/Tdc/Tcd)で差動伝送線路の特性を読み解く方法について解説します。
差動伝送の基礎
DM/CMの2視点
差動伝送線路のSパラメータや時間領域波形を読み解こうとすると、最初に突き当たるのはDMとCMがそれぞれ何を指しているのかという点です。
差動モード(DM)はP側信号 とN側信号 の差を取った成分、コモンモード(CM)は両者の平均を取った成分です。この2つが頭に入っていないと、Tdd/Tcc/Tdc/Tcd の4つのパラメータを見ても「どの波形にどのモードが映っているのか」が読み取れません。
まずは電圧と電流の両面からDM/CMを押さえておきます。
電圧視点

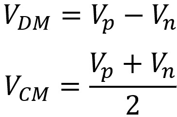
図1 DM/CMの電圧視点の違い
DM/CMを電圧で表すと次式のとおりです。

DMは2線間の差分電圧、CMは2線間の平均電圧を指します。
電流視点
もう1つの視点として電流経路の違いも示します。

図2 DM/CMの電流視点の違い
- DM電流:P線を往路、N線を復路として流れる。リターン電流はペア間で閉じる
- CM電流:P・Nの両導体を同じ向きに流れる。リターン電流はGNDプレーンや金属筐体を経由して閉じる
電圧からの視点はペアを1つの2端子対として扱う抽象化で、電流からの視点はリターン電流の物理的実体を捉えるものです。
この2つはDM/CMを別々の角度から表したもので、どちらか片方が本質というわけではありません。場面、場面に応じて電圧と電流の分かりやすい方で考えればいいです。
差動インピーダンス
差動インピーダンス Zdはその名の通り、差動信号に対するインピーダンスです。
P・Nの間隔を十分に広げて配線し、互いの電磁的な影響を受けない状態を考えてみましょう。
このときP・Nはそれぞれ独立した1本の伝送線路として振る舞い、特性インピーダンスはZ0となります。
そして差動信号から見るとP線の往きとN線のリターンが直列に連なる形になり、 Zdは特性インピーダンスZ0の2倍となります。

ただし実基板では配線間距離が有限で、必ず結合が生じます。
この結合があるペア配線では、P・N間の結合係数Kを介して次式で表されます。

k>0では

となるため、Zdは2Z0より小さい値に収まります。
合が強いほど は低下し、ペア間隔の取り方次第で差動インピーダンスは大きく変動します。合が強いほど は低下し、ペア間隔の取り方次第で差動インピーダンスは大きく変動します。
実際の規格値を見るとこの傾向がよくわかります。
USB 2.0の差動伝送線路は90Ω、PCIeは85 Ωです。
単線50 Ωの伝送線を2本並べただけならZd= Ωになるはずですが、実際の規格値がそれより低いのは、ペアを密に配線して結合を持たせた結果としてZdが2Z0より小さくなるからです。
差動ペアで生じるモード変換
理想対称なペアならDMとCMは互いに独立のままですが、実基板ではDMの一部がCMへ漏れる(またはその逆)の現象が必ず発生します。
これをモード変換と呼びます。
実基板では配線幅のばらつき・ビアの片側集中・コネクタの非対称接続・基板材料の不均一などが積み重なり、P・Nの対グラウンド容量や特性インピーダンスにずれが生じます。
この状態でDM信号を流すと、DM電流の一部が外側へ漏れCM電流として現れます。このモード変換は周波数が高いほど顕著になります。
差動Sパラメータの4成分
Mixed-Mode表記の4成分構造
差動ペアのSパラメータを測定すると、物理ポートの並びでは4×4の行列が手元に残ります。
そのまま眺めても、どの成分が差動信号の通過で、どの成分がモード変換なのかは表から直接読み取れません。
その点Mixed-Mode表記なら、DM・CMの2モード×入出力2ポートの4モード系に視点を付け替えるだけで、行列の各成分がそれぞれ別の物理意味を持つ構造として整理できます。

図3 ミックスドモードSパラメータ
4モードに対するSパラメータは4×4行列に整理でき、2×2ブロックに分けた4成分として読み解けます。4成分の役割は次のとおりです。
- 対角ブロック(Sdd/Scc):DM/CMがそれぞれ同じモードで透過・反射する成分
- 非対角ブロック(Sdc/Scd):対称性の崩れによって発生するモード変換成分
理想的に対称な伝送線路ではSdcとScdはゼロですが、実装上は必ず有限値が残ります。
時間領域への展開
IFFTの周波数独立性
周波数領域でMixed-Modeに変換した後に、それぞれのパラメータに同一の時間窓・同一の帯域制限条件でIFFTすれば、時間領域の4つのパラメータ Tdd/Tcc/Tdc/Tcd が得られます。
ただし落とし穴が1つあります。縦軸単位はSパラメータのまま(反射係数 または透過係数に相当する無次元量)で、インピーダンスに読み替えるには別途換算が必要という点です。
Tdd/Tcc/Tdc/Tcd の命名規則
時間領域の4つのパラメータは頭文字のTが時間領域(Time-domain)を示し、続く2文字が出力モード・入力モードの順で並びます。
ポート番号は周波数領域と同じく出力ポート・入力ポートの順で並びます。

図4 時間領域パラメータ(差動)の表記ルール
たとえば Tdd11 はポート1にDMを入れてポート1でDMとして反射した成分の時間波形です。
Tcc21 はポート1にCMを入れてポート2でCMとして受けた透過成分、Tdc11 はポート1にCMを入れてポート1でDMとして反射した成分になります。

表1 時間領域表記と物理的意味
時間領域パラメータの読解
Tdd11
4つのパラメータの中で最もよく見るのがTdd11です。DMで信号を流したとき、入力端に戻ってきた反射波の時間波形で、縦軸が反射係数 、横軸が時間です。基本的にはシングルエンドTDRのS11と同じですが、基準インピーダンスはシングルエンドの Z0ではなく差動系の2Z0,refになります。

典型例として基準系2Z0,ref=100Ωの系を考えてみます。差動インピーダンスが途中区間でZd=90Ωに下がったペアでは、その区間に負段差が現れます。

逆に Zd=110Ωに上がる区間では、正段差が現れます。

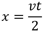
段差位置は往復伝搬時間で決まるので、遅延 tの点で現れた段差は、伝送線路上の物理距離に対応します。
伝送線路での伝搬速度をvとすると、距離は次式で求められます。

Tcc11
Tcc11はCMで信号を流したときの反射係数の時間波形です。CMはP・Nを同じ向きに流れ、リターン電流がGNDプレーンや筐体を経由するので、Tcc11の段差はペアとそのリターン経路が作るCM系インピーダンス Zcの不整合を示します。 Zcは Zc=Zever/2で定義されるCMの等価特性インピーダンスで、リターン経路の幾何(プレーンの穴・段差、筐体接続点、EMIフィルタの挿入など)で変動します。
このことからTcc11は差動信号品質には直接効かないものの、CMノイズの伝搬・反射・放射を決めるEMIリスクに直結する重要なパラメータといえます。
Tdc11/Tcd11
Tdd11とTcc11が「段差」を相手にする波形だったのに対し、Tdc11とTcd11は「ピーク」を相手にする波形です。
両者はモード変換の時間領域成分で、対称な伝送線路ではゼロに近く、対称性崩れがある点でパルス状のピークとして現れます。
健全な差動ペアでも、Tdc/Tcdの絶対値は-40〜-60dB程度にとどまることが多く、VNAのダイナミックレンジによってはノイズフロアぎりぎりに張り付きます。
ピーク識別のためには、次の3項目で時間分解能とノイズフロアを調整します。
- Averagingの増加:ノイズフロアを下げる
- IFBWの最適化:時間分解能と有効帯域のトレードオフを取る
- 窓関数の選択:窓のサイドローブが偽のピークを生むのを抑える
ノイズフロア近辺の微小ピークを非対称源と断じる前に、計測系の繰り返し再現性と治具のバラツキを確認してことが重要です。
デモ機レンタルサービス
https://tm-co.co.jp/contact/
© 2025 T&Mコーポレーション株式会社
























T&M
即納ストア