変流器(カレントトランスフォーマ:CT)を用いた双方向絶縁型多相DC-DCコンバータは、高出力密度と高効率が求められる車載充電器(OBC)や蓄電システムにおいて、非常に洗練されたトポロジーの一つです。
一般的な電圧形コンバータ(DABなど)とは異なり、電流の情報を直接制御に組み込みやすい点や、多相化によるリプル低減が大きなメリットです。
1. 基本的なシステム構成
この回路は、一次側と二次側のブリッジ回路を絶縁トランスで結合し、そこに**変流器(CT)**を介在させることで、電流検出やソフトスイッチングの制御に役立てます。
-
双方向性: 一次側(DC電源)から二次側(負荷/バッテリー)へ、またはその逆への電力融通が可能。
-
絶縁型: 高周波トランスを用いることで、入出力間の電気的な絶縁を確保。
-
多相化: 回路を並列化(インターリーブ)し、位相をずらして動作させることで、入出力のリプル電流を相殺します。
2. 変流器(CT)の役割
このシステムにおいて変流器が用いられる主な理由は以下の3点です。
-
高精度な電流制御:
シャント抵抗による検出に比べ、損失を抑えつつ高速な電流フィードバックが可能です。特に双方向で大電流が流れる場合、電力効率の向上に直結します。
-
電流モード制御の実現:
各相の電流を個別に監視することで、多相構成時における「電流の不平衡」を防ぎます。
-
ソフトスイッチング(ZVS/ZCS)の支援:
トランスの漏れインダクタンスと電流のタイミングを正確に把握することで、スイッチング損失を最小限に抑える制御が容易になります。
3. 主なメリットと課題
| 特徴 | 内容 |
| 低リプル | 多相化(3相や4相など)により、コンデンサへの負担を減らし小型化が可能。 |
| 高効率 | 絶縁トランスのリアクタンスを利用した共振動作により、高周波でも低損失。 |
| 熱分散 | 電流を複数相に分散させるため、特定の素子への熱集中を回避できる。 |
| 課題 | 部品点数が増えるため、制御アルゴリズム(位相シフト制御など)が複雑になる。 |
4. 制御方式のトレンド
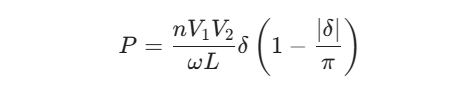
現在は、**位相シフト制御(Phase-Shift Control)**が主流です。一次側と二次側のフルブリッジ間の位相差(δ)を調整することで、送電電力 P を制御します。
![]() |
※ここで V1, V2 は入出力電圧、L はトランスの漏れインダクタンス、n は巻数比を示します。
次のステップとして
この技術の具体的な実装について、さらに詳しくお伝えできます。
**「3相構成における具体的な位相シフトの計算方法」や、「GaN/SiCデバイスを用いた最新の設計事例」**など、興味のあるトピックはありますか?
出典:Google Gemini
PR:
110GHz複素誘電率測定システム – FPOR製品(ネクステム株式会社)と協調してソリューション提供
弊社とネクステム株式会社は、協調して110GHz複素誘電率測定システム(FPOR:FABRY-PEROT OPEN RESONATOR)を提供いたします。 FPORお問い合せ先: ネクステム株式会社 ホームページhttp://www.nextem.co.jp/ Email: info@nextem.co.jp 電話:06-6977-7027 システムカタログ ダウンロード ネクス[…]
![]() |
Dielectric constant:Dk = 1 – 15 (accuracy ± 0.2 %) Loss tangent:Df > 5 × 10–6 (accuracy ± 2 %)
1.0mmコネクタケーブルによる直接接続(VNAにエクステンダ不要)
|
PR:
|
・USB VNA |
・Coming soon |
![]() |
SDS8000Aシリーズ オシロスコープ 特長と利点 ・Coming soon |
![]() |
SSG6M80Aシリーズ ・Coming soon
|
![]() |
![]() |
![]() |
SSA6000A Series Signal Analyzer Main Features ・Coming soon
|
![]() |
SNA6000A Series Vector Network Analyzer Key Features
|
お礼、
T&Mコーポレーションは設立5年ですが、おかげさまで業績を着実に伸ばしており、
オフィスを港区芝(最寄り駅浜松町)に移転し、スペースも拡大いたしました。
欧米計測器メーカーが値上げをする中、(110GHz VNAでは1億円超え)
弊社では若干の値下げをさせていただき、Ceyear社110GHz VNAは5000万円以下です。
高額な設備投資を伴う製品開発では、市場投入までの時間(Time to Market)の短縮、「スピード感」が求められます。
電子計測器業界の「ゲームチェンジャー」として、高性能/高信頼/低価格/短納期を武器に
T&Mコーポレーションはお客様のご予算を最大限生かす製品群をご提案させていただいております。

















T&M
即納ストア