CNT薄膜トランジスタ(TFT)の特性評価において、2ポート・シリーズスルー(Series-Thru)法は、特にデバイスのインピーダンスが高い場合(高抵抗なCNTチャネルなど)に、通常の分圧測定よりも高い精度で特性を抽出できる手法です。
VNA(ベクトル・ネットワーク・アナライザ)を用い、デバイスを信号線に対して直列(Series)に挿入して測定します。
1. シリーズスルー法の原理
通常の反射測定(S11)では、高インピーダンスデバイスはスミスチャートの右端に張り付いてしまい、わずかな校正誤差が大きなインピーダンス誤差につながります。
シリーズスルー法では、**透過係数(S21)**を中心に解析することで、この問題を回避します。
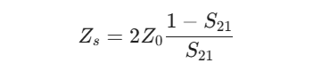
インピーダンス $Z_s$ の算出式
デバイスの直列インピーダンス Zs は、S21 を用いて以下の簡潔な式で表されます(系の特性インピーダンス Z0 = 50Ω の場合)。
![]() |
この手法の強みは、S21 が小さい(デバイスの抵抗が高い)領域でも、ダイナミックレンジを広く取れる点にあります。
2. RF-CVへの応用(容量抽出)
シリーズスルー法で得られた $Z_s$ から、CNT-TFTのゲート容量成分などを抽出します。
![]() |
CNT-TFTをこの方法で測定する場合、ゲート端子を Port 1 に、ドレイン(またはソース)端子を Port 2 に接続し、残りの端子を共通接地(Common)にする構成が一般的です。
3. CNT-TFT測定におけるメリット
-
高インピーダンスへの感度:
CNTネットワークはオン状態でも数百Ω〜数kΩになることがありますが、シリーズスルー法はこの範囲での測定精度が反射法(S11)より格段に高いです。
-
ノイズ耐性:
S21 測定はVNAのノイズフロアの影響を受けにくいため、微小なチャネル容量(fFオーダー)の変化を捉えやすくなります。
-
広帯域性:
AMD RFSoCなどの広帯域な信号処理系を用いる場合でも、数MHzから数GHzまで一貫した理論式でインピーダンスを抽出可能です。
4. 実施時の注意点
-
バイアス供給の整合性:
Port 1 と Port 2 の両方に Bias Tee が必要です。特に VGS(ゲートバイアス)を Port 1 から、 VDS(ドレインバイアス)を Port 2 から印加する場合、DC経路がデバイスを介して干渉しないよう、グランドの取り方に注意してください。
-
プロービングの寄生排除:
GSG(Ground-Signal-Ground)プローブを使用する場合、プローブ自体のインダクタンスが Zs に加算されます。
対策: 必ず「素子なし(Throughパターン)」のダミーを測定し、そのインピーダンスを
Zs(measured) - Zs(thru) として差し引くディエンベディングを行ってください。
実装上のアドバイス
この「高速CVスイープ」の実装について、さらに具体的な信号処理ロジックなど興味はありますか?
出典:Google Gemini (Gemini は AI であり、間違えることがあります。)
PR:
SMM3000Xシリーズ 高精度ソースメジャーユニット・表示桁数:6½桁(2,100,000カウント) ・SMM3311X(1ch) / SMM3312X(2ch) ・価格:90万円~ |
|
|
・USB VNA |
・Coming soon |
![]() |
SDS8000Aシリーズ オシロスコープ 特長と利点 ・Coming soon |
![]() |
SSG6M80Aシリーズ ・Coming soon
|
![]() |
![]() |
![]() |
SSA6000A Series Signal Analyzer Main Features ・Coming soon
|
![]() |
SNA6000A Series Vector Network Analyzer Key Features
|
お礼、
T&Mコーポレーションは設立5年ですが、おかげさまで業績を着実に伸ばしており、
オフィスを港区芝(最寄り駅浜松町)に移転し、スペースも拡大いたしました。
電子計測器業界の「ゲームチェンジャー」として、高性能/高信頼/低価格/短納期を武器に
T&Mコーポレーションはお客様のご予算を最大限生かす製品群をご提案させていただいております。






















T&M
即納ストア