高周波(RF)フィルタにおいて、磁性流体を用いた可変インダクタは、**「再構成可能な無線フロントエンド」**を実現するためのキーテクノロジーとして注目されています。
従来のフィルタは特定の周波数を通すように固定されていますが、磁性流体を使えば、ソフトウェア制御によって「今はWi-Fi用、次は5G用」と、フィルタの特性を動的に作り変えることが可能になります。
1. フィルタ特性を「動かす」仕組み
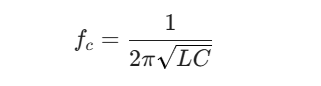
高周波フィルタ(ローパス、ハイパス、バンドパスなど)の遮断周波数 $f_c$ は、回路内のインダクタンス L とキャパシタンス C の組み合わせで決まります。
![]() |
磁性流体インダクタを組み込むことで、以下のパラメータを制御します。
-
中心周波数のシフト: 磁性流体の透磁率を変化させることで、パスバンド(通す帯域)を上下にスライドさせます。
-
帯域幅の調整: フィルタの「鋭さ(Q値)」や通過帯域の広さを、液体の配置によって微調整します。
-
ノッチ(除去)周波数の変更: 特定の邪魔な電波(干渉波)だけを狙い撃ちしてカットする「ノッチフィルタ」の周波数を自在に動かせます。
2. 磁性流体フィルタの強み
従来のバラクタダイオード(可変容量ダイオード)やMEMSスイッチを用いた可変フィルタと比較した利点です。
-
高いQ値(低損失): 高周波帯域において、半導体スイッチは抵抗成分による損失(ロス)が発生しやすいですが、磁性流体は適切な材料選定により、よりクリーンな信号伝送が期待できます。
-
線形性の高さ: 半導体素子で起こりやすい信号の歪み(相互変調歪みなど)を抑えやすく、大電力の高周波信号にも対応可能です。
-
広範囲な可変幅: 液体の物理的な移動や磁気特性の大きな変化を利用するため、周波数の可変範囲を広く取りやすいのが特徴です。
3. 実装の課題:高周波特有の悩み
高周波(数GHz〜)になればなるほど、以下のような技術的ハードルが高くなります。
-
渦電流損失: 磁性流体中のナノ粒子が磁界で激しく動かされる際、熱としてエネルギーが逃げてしまう現象。これを抑えるための粒子コーティング技術が重要です。
-
浮遊容量の影響: 液体を保持する容器(マイクロ流路など)自体が持つ静電容量が、高周波特性を乱さないような設計が求められます。
4. 未来の通信:ソフトウェア無線(SDR)への貢献
将来の通信規格(6Gなど)では、極めて広い帯域を効率よく使う必要があります。磁性流体フィルタがあれば、1つの回路で複数の通信規格をカバーできるため、デバイスの小型化と高性能化が同時に達成できます。
高周波フィルタの設計において、「特定の周波数をカットする(ノッチフィルタ)」と「特定の帯域だけを通す(バンドパスフィルタ)」のどちらの仕組みに興味がありますか?
出典:Google Gemini
PR:
110GHz複素誘電率測定システム – FPOR製品(ネクステム株式会社)と協調してソリューション提供
弊社とネクステム株式会社は、協調して110GHz複素誘電率測定システム(FPOR:FABRY-PEROT OPEN RESONATOR)を提供いたします。 FPORお問い合せ先: ネクステム株式会社 ホームページhttp://www.nextem.co.jp/ Email: info@nextem.co.jp 電話:06-6977-7027 システムカタログ ダウンロード ネクス[…]
![]() |
Dielectric constant:Dk = 1 – 15 (accuracy ± 0.2 %) Loss tangent:Df > 5 × 10–6 (accuracy ± 2 %)
1.0mmコネクタケーブルによる直接接続(VNAにエクステンダ不要)
|
PR:
|
・USB VNA |
・Coming soon |
![]() |
SDS8000Aシリーズ オシロスコープ 特長と利点 ・Coming soon |
![]() |
SSG6M80Aシリーズ ・Coming soon
|
![]() |
![]() |
![]() |
SSA6000A Series Signal Analyzer Main Features ・Coming soon
|
![]() |
SNA6000A Series Vector Network Analyzer Key Features
|
お礼、
T&Mコーポレーションは設立5年ですが、おかげさまで業績を着実に伸ばしており、
オフィスを港区芝(最寄り駅浜松町)に移転し、スペースも拡大いたしました。
欧米計測器メーカーが値上げをする中、(110GHz VNAでは1億円超え)
弊社では若干の値下げをさせていただき、Ceyear社110GHz VNAは5000万円以下です。
高額な設備投資を伴う製品開発では、市場投入までの時間(Time to Market)の短縮、「スピード感」が求められます。
電子計測器業界の「ゲームチェンジャー」として、高性能/高信頼/低価格/短納期を武器に
T&Mコーポレーションはお客様のご予算を最大限生かす製品群をご提案させていただいております。





















T&M
即納ストア