スイッチドキャパシタ回路(Switched Capacitor Circuit: SC回路)は、容量センサの低域遮断問題を解決するための非常にスマートな手法です。
簡単に言うと、**「コンデンサ($C$)を高速にスイッチングすることで、擬似的な抵抗($R$)として扱う」**技術です。
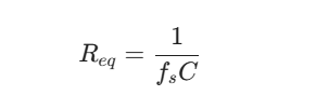
1. 基本的な原理
スイッチを高速に切り替えて電荷を運ぶ動作は、電気的には「電流が流れている」のと同じ状態になります。
このとき、スイッチの切り替え周波数を fs とすると、この回路の等価抵抗 Req は以下の式で表されます。
![]() |
-
周波数で抵抗値を制御: スイッチを速く動かせば抵抗値は小さくなり、遅くすれば大きくなります。
-
高精度の実現: IC内部で巨大な抵抗器を作るのは困難ですが、小さなコンデンサとスイッチなら正確に作れるため、アナログ演算の精度が飛躍的に向上します。
2. 容量センサにおけるメリット
低域遮断問題に対して、SC回路は以下のような強みを持ちます。
-
DC(静止状態)の測定が可能:
常にスイッチングして電荷をサンプリングするため、センサが動いていなくても「現在の容量」を電圧として取り出し続けることができます。
-
外乱に強い:
特定の周波数でサンプリングを行うため、低周波のノイズ(電源ハムなど)や、ゆっくりとした温度変化によるドリフトをキャンセルしやすくなります。
-
高インピーダンス化が容易:
物理的な高抵抗を使わずに、時分割で電荷を処理するため、リーク電流の影響を最小限に抑えられます。
3. スイッチドキャパシタ積分器の構成
容量センサの信号を読み取る際、最もよく使われるのが「積分器」との組み合わせです。
-
電荷の転送: センサ(Cs)に蓄まった電荷を、スイッチ操作で帰還コンデンサ(Cf)へ転送します。
-
電圧変換: 出力電圧は Vout ≈ Vin・Cs/Cf となり、センサの容量変化をダイレクトに電圧として取り出せます。
注意点:エイリアシング(折り返し誤差)
SC回路は「離散時間信号(サンプリング)」を扱うため、測定したい信号の周波数に対して、十分に高いスイッチング周波数 fs を選ぶ必要があります。そうしないと、ノイズが信号に混じり込むエイリアシングが発生します。
次のステップ
具体的な回路設計(オペアンプの選定や時系列チャート)について詳しく知りたいですか?あるいは、特定のセンサIC(静電容量タッチ用など)の使い方に興味がありますか?
出典:Google Gemini
PR:
110GHz複素誘電率測定システム – FPOR製品(ネクステム株式会社)と協調してソリューション提供
弊社とネクステム株式会社は、協調して110GHz複素誘電率測定システム(FPOR:FABRY-PEROT OPEN RESONATOR)を提供いたします。 FPORお問い合せ先: ネクステム株式会社 ホームページhttp://www.nextem.co.jp/ Email: info@nextem.co.jp 電話:06-6977-7027 システムカタログ ダウンロード ネクス[…]
![]() |
Dielectric constant:Dk = 1 – 15 (accuracy ± 0.2 %) Loss tangent:Df > 5 × 10–6 (accuracy ± 2 %)
1.0mmコネクタケーブルによる直接接続(VNAにエクステンダ不要)
|
PR:
|
・USB VNA |
・Coming soon |
![]() |
SDS8000Aシリーズ オシロスコープ 特長と利点 ・Coming soon |
![]() |
SSG6M80Aシリーズ ・Coming soon
|
![]() |
![]() |
![]() |
SSA6000A Series Signal Analyzer Main Features ・Coming soon
|
![]() |
SNA6000A Series Vector Network Analyzer Key Features
|
お礼、
T&Mコーポレーションは設立5年ですが、おかげさまで業績を着実に伸ばしており、
オフィスを港区芝(最寄り駅浜松町)に移転し、スペースも拡大いたしました。
欧米計測器メーカーが値上げをする中、(110GHz VNAでは1億円超え)
弊社では若干の値下げをさせていただき、Ceyear社110GHz VNAは5000万円以下です。
高額な設備投資を伴う製品開発では、市場投入までの時間(Time to Market)の短縮、「スピード感」が求められます。
電子計測器業界の「ゲームチェンジャー」として、高性能/高信頼/低価格/短納期を武器に
T&Mコーポレーションはお客様のご予算を最大限生かす製品群をご提案させていただいております。

















T&M
即納ストア