MHz帯で駆動するスナバレスの**ZCS(零電流スイッチング)**直流コンバータは、次世代のパワーエレクトロニクスにおいて非常に魅力的な研究テーマです。高周波化(MHz化)することで受動部品を小型化できる一方、スイッチング損失とサージ電圧の抑制が最大の壁となります。
これらを理論的に紐解く「位相面解析(Phase Plane Analysis)」に基づいた設計の要点を整理しました。
1. なぜ位相面解析なのか?
MHz帯のコンバータは、スイッチの寄生容量や配線の漏れインダクタンスが無視できず、回路が複雑な共振動作を示します。
-
直感的な理解: 時間軸の波形では分かりにくい「エネルギーのやり取り」を、インダクタ電流 (iL) とコンデンサ電圧 (vC) の状態平面上の軌跡として視覚化できます。
-
境界条件の特定: ZCSを達成するためのスイッチングタイミング(軌跡が軸を横切る点)を幾何学的に決定できます。
-
定常状態の判別: 軌跡が閉曲線を描くかどうかで、回路の安定性を一目で判断できます。
2. スナバレスZCSの実現メカニズム
通常、スイッチOFF時の急峻な電圧立ち上がりを抑えるためにスナバ回路を用いますが、MHz駆動ではスナバ自体の損失が無視できません。
共振ネットワークの活用
スナバ回路を別途設けるのではなく、**回路全体の共振(L-C)**を利用して電流を自然にゼロまで落とします。
-
準共振(Quasi-Resonant)方式: スイッチング期間の一部でのみ共振を起こさせ、電流がゼロになるタイミングでゲートを閉じます。
-
寄生成分の「吸収」: トランスの漏れインダクタンスやMOSFETの出力容量 (Coss) を共振条件の一部として設計に組み込むことで、外部スナバを不要にします。
3. 位相面における設計ステップ
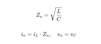
解析の際、一般に以下の正規化変数を用いて円軌跡として扱います。
![]() |
-
モード分岐: スイッチのON/OFF状態に合わせて、中心点の異なる円弧を繋ぎ合わせます。
-
ZCS条件の導出: 電流軸 $i_n$ が 0 を切る瞬間に、次のモードへ遷移するようスイッチング周波数 $f_{sw}$ を設定します。
-
ソフトスイッチング領域の特定: 入力電圧や負荷変動に対し、軌跡が原点付近を適切に通過する範囲を割り出します。
4. MHz駆動における課題と対策
-
ゲートドライブ損失: スイッチング回数が増えるため、ゲート駆動電力自体が無視できなくなります。共振型ゲートドライバの併用が検討されます。
-
皮膜効果・近接効果: 高周波による銅損の増加に対し、リッツ線や平面トランスの最適設計が必須です。
-
デッドタイムの精密制御: ナノ秒単位の制御が求められるため、高速なコンパレータやFPGA/専用ICによる制御が一般的です。
次のステップとして、どのような情報が必要ですか?
-
具体的な回路方式(例:E級、LLC、Buck型準共振など)に絞った位相面図の解説
-
正規化方程式を用いた具体的な計算手法
-
特定のパワーデバイス(GaNやSiC)を想定した損失計算
ご興味のあるトピックがあれば、さらに深掘りして解説します。
出典:Google Gemini
PR:
110GHz複素誘電率測定システム – FPOR製品(ネクステム株式会社)と協調してソリューション提供
弊社とネクステム株式会社は、協調して110GHz複素誘電率測定システム(FPOR:FABRY-PEROT OPEN RESONATOR)を提供いたします。 FPORお問い合せ先: ネクステム株式会社 ホームページhttp://www.nextem.co.jp/ Email: info@nextem.co.jp 電話:06-6977-7027 システムカタログ ダウンロード ネクス[…]
![]() |
Dielectric constant:Dk = 1 – 15 (accuracy ± 0.2 %) Loss tangent:Df > 5 × 10–6 (accuracy ± 2 %)
1.0mmコネクタケーブルによる直接接続(VNAにエクステンダ不要)
|
PR:
|
・USB VNA |
・Coming soon |
![]() |
SDS8000Aシリーズ オシロスコープ 特長と利点 ・Coming soon |
![]() |
SSG6M80Aシリーズ ・Coming soon
|
![]() |
![]() |
![]() |
SSA6000A Series Signal Analyzer Main Features ・Coming soon
|
![]() |
SNA6000A Series Vector Network Analyzer Key Features
|
お礼、
T&Mコーポレーションは設立5年ですが、おかげさまで業績を着実に伸ばしており、
オフィスを港区芝(最寄り駅浜松町)に移転し、スペースも拡大いたしました。
欧米計測器メーカーが値上げをする中、(110GHz VNAでは1億円超え)
弊社では若干の値下げをさせていただき、Ceyear社110GHz VNAは5000万円以下です。
高額な設備投資を伴う製品開発では、市場投入までの時間(Time to Market)の短縮、「スピード感」が求められます。
電子計測器業界の「ゲームチェンジャー」として、高性能/高信頼/低価格/短納期を武器に
T&Mコーポレーションはお客様のご予算を最大限生かす製品群をご提案させていただいております。




















T&M
即納ストア