4ポート磁気結合コンバータ(マルチアクティブブリッジ:MAB)において、ZVS(ゼロ電圧スイッチング)を達成・維持することは、高効率化とノイズ低減の鍵となります。
ZVSを維持するための制約条件は、主に**「電圧比(電圧不整合)」と「位相差(転流電流)」**の相関によって決まります。
1. ZVSの基本原理と条件
ZVSを成立させるには、スイッチがオンになる前に、トランスのリーケージインダクタンスに蓄えられたエネルギーによって、スイッチ(MOSFET/IGBT)の寄生容量を放電し、反転側のダイオードを導通させる必要があります。
必要なエネルギーの条件
各ブリッジのスイッチング時点において、インダクタ電流 $i_L$ が以下の条件を満たす必要があります。
![]() |
(Cossはスイッチの出力容量、Vはポート電圧)
つまり、**「スイッチングの瞬間に、寄生容量を空にするのに十分な電流が流れていること」**が絶対条件です。
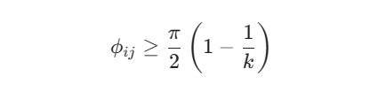
2. 位相差 Φ に関する制約条件(SPS制御の場合)
2ポート間の伝送を基準に考えると、ポート $i$ とポート j の電圧比を k = Vi / Vj と定義した場合、ZVSを維持するための位相差 Φij には以下の制約が生じます。
① 電圧が整合している場合 (k = 1)
-
全負荷域でZVSが可能: 位相差Φ がわずかでもあれば、転流に必要な電流が確保しやすくなります。
② 電圧が不整合な場合 (k ≠ 1)
電圧比が1から離れる(昇圧または降圧比が大きい)ほど、ZVSを維持できる位相差の範囲が狭まります。
-
低負荷(Φ が小さい)時: インダクタ電流のピーク値が低くなり、寄生容量を放電しきれなくなるため、ZVSに失敗しハードスイッチングに移行します。
-
制約式(目安):
ポート i でZVSを維持するためには、おおよそ以下の位相差が必要です。

※ k > 1(昇圧側)の場合。逆に $k < 1$ の場合は、もう一方のポートで制約が厳しくなります。
3. 4ポート特有の課題と対策
4ポートコンバータでは、あるポートの位相差を変えると、磁気結合を介して全ポートの電流波形が変化します。これにより、特定のポートではZVSができても、別のポートでハードスイッチングが発生するという複雑な状況が起こります。
ZVS範囲を広げるための高度な位相制御
単純な位相差(SPS)では低負荷時に効率が落ちるため、以下の手法が取られます。
-
EPS (Extended Phase Shift) / DPS (Dual Phase Shift):
ブリッジ内部の上下アーム間にも位相差(デューティ比の変更に相当)を設けます。これにより、電流波形を台形や三角形に制御し、低負荷でもスイッチング時に必要な電流値を強制的に確保します。
-
循環電流の最適化:
4つのポート全体の位相角ベクトルを調整し、トランス内の無効電力を最小化しつつ、全スイッチでのZVS条件を満たす「最適解」をリアルタイムで計算します。
4. ZVS維持のための設計チェックリスト
-
デッドタイムの最適化: 位相差が十分でも、デッドタイムが短すぎると放電が完了せず、長すぎると寄生ダイオードの導通損失が増えます。
-
インダクタンス値 ($L$) の選定: $L$ が大きすぎると $I_{peak}$ が下がりZVSが困難になり、小さすぎると電流リップルが増大します。
-
最小負荷の設定: 非常に軽い負荷ではZVSは物理的に困難なため、バーストモード(間欠運転)への切り替えを検討します。
次にどのような詳細が必要ですか?
-
EPSやTPSを用いた、具体的な波形制御によるZVS拡大の手法。
-
制御ソフトに実装するためのZVS境界条件の計算式。
-
特定の動作モード(例:蓄電池から2つの負荷へ同時給電)における電流挙動。
具体的な回路構成や用途(EV充電器、マイクログリッド等)を教えていただければ、より踏み込んだ解説が可能です。
出典:Google Gemini
PR:
110GHz複素誘電率測定システム – FPOR製品(ネクステム株式会社)と協調してソリューション提供
弊社とネクステム株式会社は、協調して110GHz複素誘電率測定システム(FPOR:FABRY-PEROT OPEN RESONATOR)を提供いたします。 FPORお問い合せ先: ネクステム株式会社 ホームページhttp://www.nextem.co.jp/ Email: info@nextem.co.jp 電話:06-6977-7027 システムカタログ ダウンロード ネクス[…]
![]() |
Dielectric constant:Dk = 1 – 15 (accuracy ± 0.2 %) Loss tangent:Df > 5 × 10–6 (accuracy ± 2 %)
1.0mmコネクタケーブルによる直接接続(VNAにエクステンダ不要)
|
PR:
|
・USB VNA |
・Coming soon |
![]() |
SDS8000Aシリーズ オシロスコープ 特長と利点 ・Coming soon |
![]() |
SSG6M80Aシリーズ ・Coming soon
|
![]() |
![]() |
![]() |
SSA6000A Series Signal Analyzer Main Features ・Coming soon
|
![]() |
SNA6000A Series Vector Network Analyzer Key Features
|
お礼、
T&Mコーポレーションは設立5年ですが、おかげさまで業績を着実に伸ばしており、
オフィスを港区芝(最寄り駅浜松町)に移転し、スペースも拡大いたしました。
欧米計測器メーカーが値上げをする中、(110GHz VNAでは1億円超え)
弊社では若干の値下げをさせていただき、Ceyear社110GHz VNAは5000万円以下です。
高額な設備投資を伴う製品開発では、市場投入までの時間(Time to Market)の短縮、「スピード感」が求められます。
電子計測器業界の「ゲームチェンジャー」として、高性能/高信頼/低価格/短納期を武器に
T&Mコーポレーションはお客様のご予算を最大限生かす製品群をご提案させていただいております。

















T&M
即納ストア